- 公告
- 展览
- 讲座
- 笔会
- 拍卖
- 活动

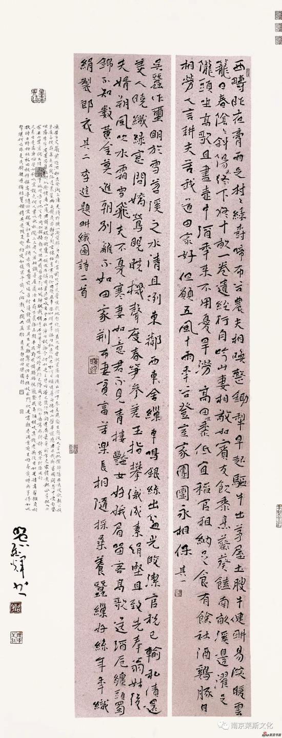
展览名称:“墨醉运都——庄辉书法作品展”
展览时间:2018年11月7日—19日
开幕时间:2018年11月9日上午十点
展览地点:中国美术馆一楼7号厅
(北京市东城区54大街1号)

庄辉,字炤(曌)父,号明空,又号无名山人,1959年7月生,籍江苏泗阳。现为江苏省淮安市美术馆(书画院) 艺委会执行主任,国家一级美术师,中国书法家协会会员,淮安市书法家协会副主席。

念起即觉
——为《庄辉书法作品集》
文 / 管峻(中国艺术研究院中国书法院院长)
庄辉先生将在中国美术馆举办“墨醉运都”个人书展,作为相识三十多年的道友,又同是军旅出身,对这位驰骋笔阵的“老战友”深表祝贺。前不久,他嘱我作序,作为老朋友不可推辞,那就借此说说对老友书艺些许感受。


书法不只是单纯写字,笔画可以随意组合。若以音乐设喻,点画就像串串音符,看似寻常,却能演绎出惊天动地的乐章。书法既是线条的艺术,又是文化气质与人生阅历的折射。一个书家偏爱何种书风首决于天性,但生命的体验、岁月的淬炼与自我的修行必将影响艺术家的人格禀赋和艺术趣味。

听庄辉讲,他的外公张笃之为老塾师,住淮阴老城西长街,与周恩来外祖父万青选为近邻,两家多有过从,经常盘桓论艺。庄辉尽管未得耳提面命,但后来以书法为业,似是祖上冥冥照拂。庄辉外表儒雅,内心却有感情激越,可用静水深流来形容。这或许源于漆园(庄周曾担任“漆园吏”)后裔的血脉传承,或许是出生夏日的热浪裹涌;而“后天”经历文革乱世、知青磨练以及水兵生涯,或隐或现的天高海阔与惊涛骇浪铸就了他勇于搏击进取的艺术个性。

和许多人一样,庄辉从颜楷起步,颇下功夫,至今还能脱手出“颜”。随着眼界开阔、学养渐长,他别探魏碑、魏行、小草、大草、乃至现代“少字数”书风……特别是上世纪九十年代入北京大学“进修”,十年前赴荣宝斋“深造”,投师访友,潜心问道,每一次都脑洞大开,书法风格为之一新。


如果说禅宗有所谓“渐修”、“顿悟”之说,庄辉就属于苦学一路。他右手无名指背常抵毛笔,隆起半个黄豆大的老茧,像“小山”,遂有“无名山人”别号。当然,我更喜欢他以“老庄”自居,看似“倚老卖老”,暗喻追慕老子、庄子的意思。老庄讲究“道法自然”、“清净无为”,已到耳顺之年的庄辉也沉醉笑看“花开花落”、闲对“云卷云舒”的从容。集中有幅“醉舞下山去”就透露个中消息,极有“放逸”飘举之气。如果说人生上半场是“上山”,纵然置身绝顶,也如唐人陈子昂喟叹“云海方荡潏,孤鳞安得宁”。人生下半场如能“风乎舞雩,咏而归”(孔子语),何其快哉!

明人董其昌云:“书家未有学古而不变者也。字须奇宕潇洒,时出新致;以奇为正,不主故常。”读庄辉书法,我总体感受就是“学古”深入。比如,他在研习张旭《古诗四帖》时,除了追求“画面感”,用笔触体会草圣的宏大叙事,还像外科医生那样,冷静剔除法帖错讹之处——尽管对从事书法史论的专家来说,包括兰亭序的“误笔”都是习见常识,但大多数搞创作的朋友却不屑抑或不能了然于此。他钻之弥深却又与时俱进,书风不搞多年一贯制,勇于自新,不断变法。这么多年,我对他的书法面貌还是熟悉的。应该说,早些年尚有“渐修”过程努鼓为力的痕迹,如今痕迹虽存,却多了从“知天命”到“耳顺”过渡的那份淡定从容。


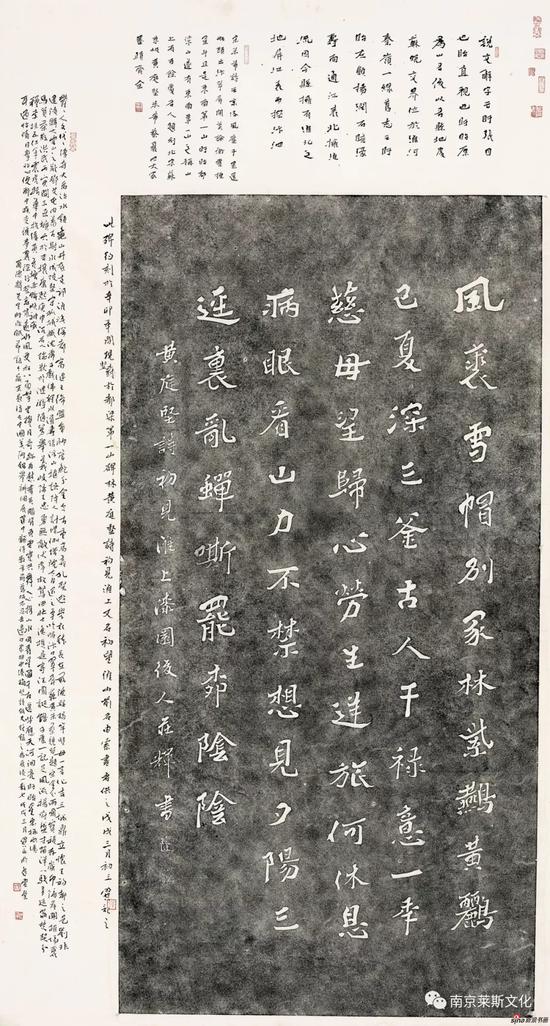
以这次展览和结集作品来说,可谓五彩纷呈:体裁多、款式多,跨度大、气魄大。还像董氏所言,时出新致,不主故常。他打通不同书体疆域,草含分情、楷多行意,妙契无间,力避“隔”之所失。又通过墨色变化营造“烟波浩荡”意趣,辅之选辞、用纸、装裱等“外在因素”,着意形式与内容、感观与思悟、墨迹与禅意的相融互济。如今,许多书家在尝试“结字因时而传”,如果把“结字”外延扩大成书法内外因素多元经营,我认为这样的尝试完全必要,如果不避偏爱之嫌,我认为庄辉的探索是成功的。比如他的魏体寸楷,特别是熔八大书意的禅意书法,功力付诸而具“钢筋铁骨”,不失力量感,更有匠心别裁溢出“花繁叶茂”,独有秀逸美。而通篇观来静气贯注,给人云淡风轻、随意所适的古气。与之相反,草书则别有纵横不羁之态,线条既绵劲有力,又曲折多姿,而一字之展促、字群之连环、章法之生动……既是雄强书风的集中体现,也是军人气质的生动反映。观其书,有“静若止水,动则波涛”之两重意境。作品集中有《念起即觉》和大圭诗《咏山谷草圣》,颇堪玩味,正如“念起即觉”跋语所示,念因情而生,觉缘态明性。而从《咏山谷草圣》这幅作品来看,他用风驰电掣、瞬息万变的狂草,在一念之中完成了对无限状态的皈依。佛家有“无边刹境自他不隔于毫端,十世古今始终不离于当念”长联,笔端的刹那变化就是充满,就是圆融,就是对永恒的超越。


庄辉能有此成就,和重视书法理论研习分不开。他在30岁时就写有专著《繁难字体楷书法》,左图右论,夹“书”(颜楷示范)夹“议”(介绍写法),让人一目了然。如果说此举还是普及读物,其后数十年中,他从对颜真卿书学比较研究入手,撰写了《从北魏〈元顼墓志〉试探颜楷之源》、《从北魏〈元顼墓志〉探寻颜楷成因》等论文,此外还写了大量随笔,以史证论,不鹜空声;不但在《中国书法》、《书法》等专业刊物发表,还结集为《墨道心迹——庄辉书画文论集》一书,广有影响。我调入中国书法院后,偶见2011年中国艺术研究院、中国书法院主办的《“渊源与流变”——晋唐楷书研究》一书中有庄辉论文入载,为之欣喜不已。


哲人说过:“艺术创作的同时也创造了艺术家自己,艺术家在不断创造中充分表现自己的生命,创造的过程也就是自我完善的过程。”庄辉书艺生涯已届46个春秋,坚守砚田,勤耕不辍。如今,“无名”之山已蔚然而成众人瞩目的“有名高地”,“无名山人”却似进入“空明”(他另有“曌”之别号)之境:如苏轼《赤壁赋》形容“浩浩乎如冯虚御风,而不知其所止;飘飘乎如遗世独立,羽化而登仙。”


在为庄辉兄庆功同时,我仍然要说,单个音符只有汇入整个乐章才有其价值。在此,让我们感念这个伟大的时代——期待更多苦心孤诣的艺术家在更大空间展现自我,展现芳华!
是为序。
2018年9月于北京
赵国经、王美芳
¥ 0
王学仲:《垂杨饮马》
¥ 0
何家英:《醉艳》
¥ 0
萧朗:难忘十月醉金秋
¥ 0